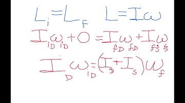
8.01x - Module 20.02 - Moment of Inertia of rotating object with angular velocity omega

Tonton & Download Video Musik Gratis

⬇ DOWNLOAD NOW
Kalau muncul iklan pop-up, tutup lalu klik tombol kembali

Download lagu 8.01x - Module 20.02 - Moment of Inertia of rotating object with angular velocity omega secara gratis hanya untuk keperluan promosi. Dukung artis favorit kamu dengan membeli musik original di iTunes atau platform resmi lainnya.