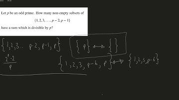
RMO 2000 Combinatorics Problem on Rank of a Number But With a Divisibility Constraint.

Tonton & Download Video Musik Gratis

⬇ DOWNLOAD NOW
Kalau muncul iklan pop-up, tutup lalu klik tombol kembali

Download lagu RMO 2000 Combinatorics Problem on Rank of a Number But With a Divisibility Constraint. secara gratis hanya untuk keperluan promosi. Dukung artis favorit kamu dengan membeli musik original di iTunes atau platform resmi lainnya.