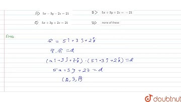
The eyation of plane passing through the point (1 ,1 ,2) having 2 ,3 ,2 as direction ratios of

Tonton & Download Video Musik Gratis

⬇ DOWNLOAD NOW
Kalau muncul iklan pop-up, tutup lalu klik tombol kembali

Download lagu The eyation of plane passing through the point (1 ,1 ,2) having 2 ,3 ,2 as direction ratios of secara gratis hanya untuk keperluan promosi. Dukung artis favorit kamu dengan membeli musik original di iTunes atau platform resmi lainnya.