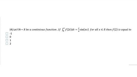
IIT JAM solution (2015) || Integral Calculus || Newton Leibnitz rule|| Maxima and Minima

Tonton & Download Video Musik Gratis

⬇ DOWNLOAD NOW
Kalau muncul iklan pop-up, tutup lalu klik tombol kembali

Download lagu IIT JAM solution (2015) || Integral Calculus || Newton Leibnitz rule|| Maxima and Minima secara gratis hanya untuk keperluan promosi. Dukung artis favorit kamu dengan membeli musik original di iTunes atau platform resmi lainnya.