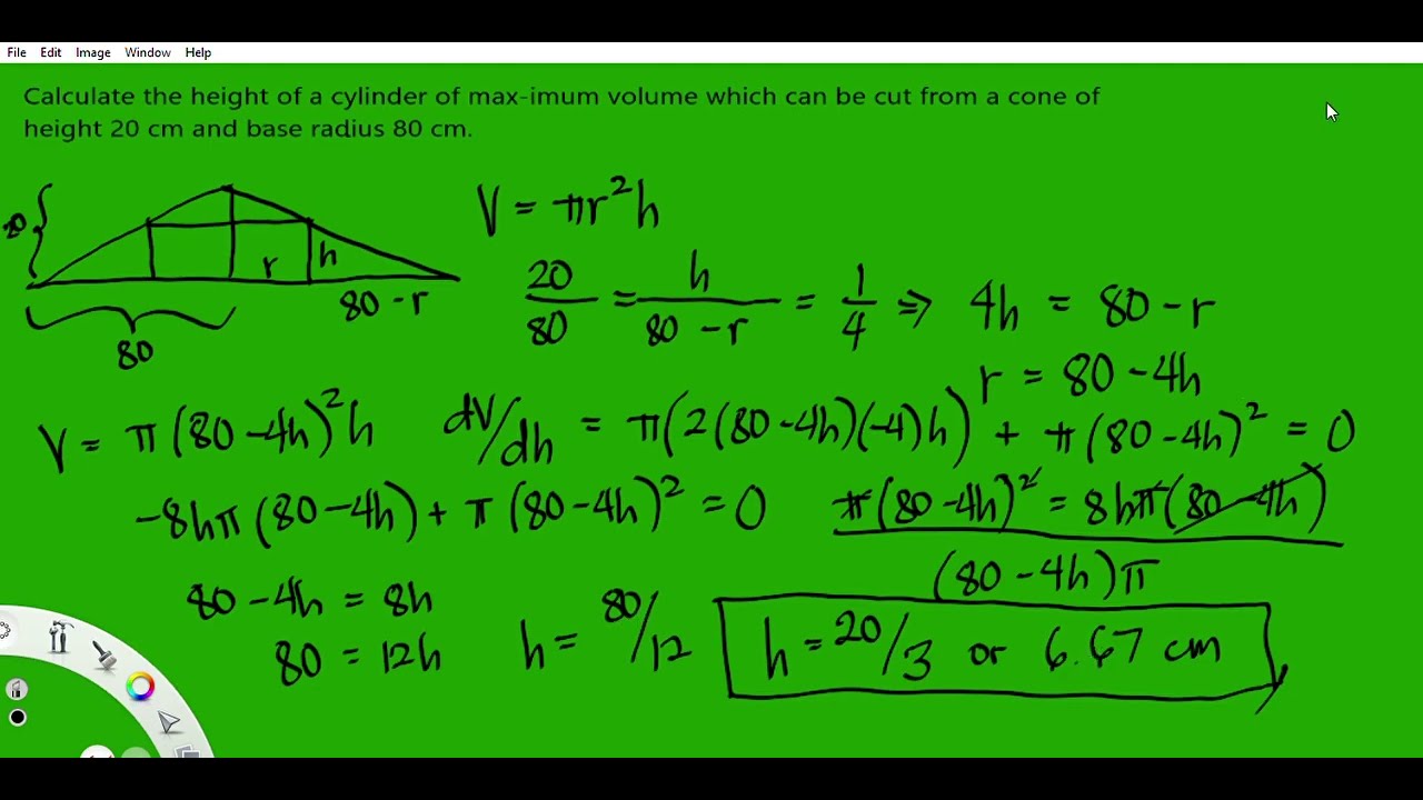
Maxima and Minima, Example 38. CSA of cylinder inscribed in given cone

Tonton & Download Video Musik Gratis

⬇ DOWNLOAD NOW
Kalau muncul iklan pop-up, tutup lalu klik tombol kembali

Download lagu Maxima and Minima, Example 38. CSA of cylinder inscribed in given cone secara gratis hanya untuk keperluan promosi. Dukung artis favorit kamu dengan membeli musik original di iTunes atau platform resmi lainnya.