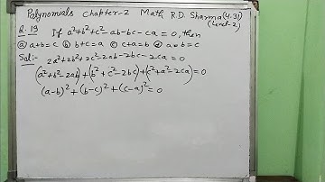
Example 2 (ii), Page No 4.10, Polynomials, Maths Class 9th R D Sharma Solutions

Tonton & Download Video Musik Gratis

⬇ DOWNLOAD NOW
Kalau muncul iklan pop-up, tutup lalu klik tombol kembali

Download lagu Example 2 (ii), Page No 4.10, Polynomials, Maths Class 9th R D Sharma Solutions secara gratis hanya untuk keperluan promosi. Dukung artis favorit kamu dengan membeli musik original di iTunes atau platform resmi lainnya.