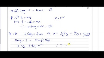
Edexcel (6677/01) M1 GCE June 2015 Q8 Connected Particles, Inclined Planes

Tonton & Download Video Musik Gratis

⬇ DOWNLOAD NOW
Kalau muncul iklan pop-up, tutup lalu klik tombol kembali

Download lagu Edexcel (6677/01) M1 GCE June 2015 Q8 Connected Particles, Inclined Planes secara gratis hanya untuk keperluan promosi. Dukung artis favorit kamu dengan membeli musik original di iTunes atau platform resmi lainnya.