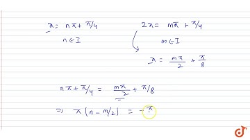
If the complex numbers \( \sin x+i \cos 2 x \) and \( \cos x-i \sin 2 x \) are conjugate to each...

Tonton & Download Video Musik Gratis

⬇ DOWNLOAD NOW
Kalau muncul iklan pop-up, tutup lalu klik tombol kembali

Download lagu If the complex numbers \( \sin x+i \cos 2 x \) and \( \cos x-i \sin 2 x \) are conjugate to each... secara gratis hanya untuk keperluan promosi. Dukung artis favorit kamu dengan membeli musik original di iTunes atau platform resmi lainnya.