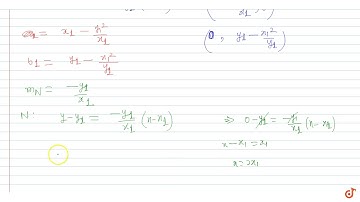
JEE MAINS 2018 If the sum of the squares of the intercepts on the axes cut off by tangent to ...

Tonton & Download Video Musik Gratis

⬇ DOWNLOAD NOW
Kalau muncul iklan pop-up, tutup lalu klik tombol kembali

Download lagu JEE MAINS 2018 If the sum of the squares of the intercepts on the axes cut off by tangent to ... secara gratis hanya untuk keperluan promosi. Dukung artis favorit kamu dengan membeli musik original di iTunes atau platform resmi lainnya.