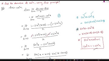
CALCULUS||FIRST PRINCIPLE||HOW USE FIRST PRINCIPLE TO DIFFERENTIATE (Cos^2 x)

Tonton & Download Video Musik Gratis

⬇ DOWNLOAD NOW
Kalau muncul iklan pop-up, tutup lalu klik tombol kembali

Download lagu CALCULUS||FIRST PRINCIPLE||HOW USE FIRST PRINCIPLE TO DIFFERENTIATE (Cos^2 x) secara gratis hanya untuk keperluan promosi. Dukung artis favorit kamu dengan membeli musik original di iTunes atau platform resmi lainnya.