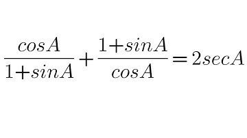
Prove that: cos A / (1+sin A) + ( 1+sinA) / cosA = 2sec A Class 10 Ex 8.3 Q4 (ii) | Trigonometry

Tonton & Download Video Musik Gratis

⬇ DOWNLOAD NOW
Kalau muncul iklan pop-up, tutup lalu klik tombol kembali

Download lagu Prove that: cos A / (1+sin A) + ( 1+sinA) / cosA = 2sec A Class 10 Ex 8.3 Q4 (ii) | Trigonometry secara gratis hanya untuk keperluan promosi. Dukung artis favorit kamu dengan membeli musik original di iTunes atau platform resmi lainnya.