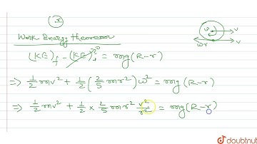
A solid sphere of mass m is released from rest from the rim of a hemispherical cup so that it rolls

Tonton & Download Video Musik Gratis

⬇ DOWNLOAD NOW
Kalau muncul iklan pop-up, tutup lalu klik tombol kembali

Download lagu A solid sphere of mass m is released from rest from the rim of a hemispherical cup so that it rolls secara gratis hanya untuk keperluan promosi. Dukung artis favorit kamu dengan membeli musik original di iTunes atau platform resmi lainnya.