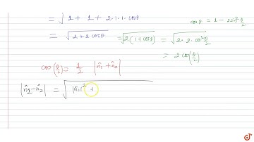
If `theta` is the angle between two unit vectors `hat(a)` and `hat(b)` then `(1)/(2)|hat(a)-hat(b)|=

Tonton & Download Video Musik Gratis

⬇ DOWNLOAD NOW
Kalau muncul iklan pop-up, tutup lalu klik tombol kembali

Download lagu If `theta` is the angle between two unit vectors `hat(a)` and `hat(b)` then `(1)/(2)|hat(a)-hat(b)|= secara gratis hanya untuk keperluan promosi. Dukung artis favorit kamu dengan membeli musik original di iTunes atau platform resmi lainnya.