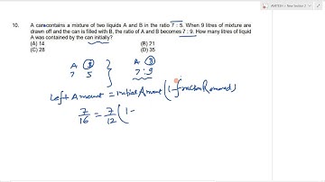
A container contains a mixture of two liquids, A and B, in the proportion 7 ∶ 5. If 9 liters of the

Tonton & Download Video Musik Gratis

⬇ DOWNLOAD NOW
Kalau muncul iklan pop-up, tutup lalu klik tombol kembali

Download lagu A container contains a mixture of two liquids, A and B, in the proportion 7 ∶ 5. If 9 liters of the secara gratis hanya untuk keperluan promosi. Dukung artis favorit kamu dengan membeli musik original di iTunes atau platform resmi lainnya.