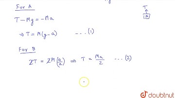
Consider4 the situation shown in figure. Bothe the pulleys and the string are light and all the ...

Tonton & Download Video Musik Gratis

⬇ DOWNLOAD NOW
Kalau muncul iklan pop-up, tutup lalu klik tombol kembali

Download lagu Consider4 the situation shown in figure. Bothe the pulleys and the string are light and all the ... secara gratis hanya untuk keperluan promosi. Dukung artis favorit kamu dengan membeli musik original di iTunes atau platform resmi lainnya.