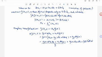
Ornstein Uhlenbeck (OU) Process: solution, mean, variance, covariance, calibration, and simulation

Tonton & Download Video Musik Gratis

⬇ DOWNLOAD NOW
Kalau muncul iklan pop-up, tutup lalu klik tombol kembali

Download lagu Ornstein Uhlenbeck (OU) Process: solution, mean, variance, covariance, calibration, and simulation secara gratis hanya untuk keperluan promosi. Dukung artis favorit kamu dengan membeli musik original di iTunes atau platform resmi lainnya.