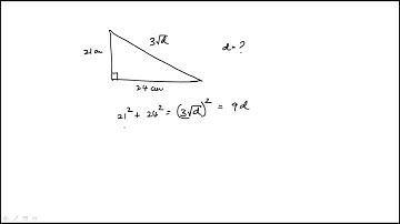
Sat practice test 9 Question 15 module 2 Mathematics : similar triangles ; sine of an angle

Tonton & Download Video Musik Gratis

⬇ DOWNLOAD NOW
Kalau muncul iklan pop-up, tutup lalu klik tombol kembali

Download lagu Sat practice test 9 Question 15 module 2 Mathematics : similar triangles ; sine of an angle secara gratis hanya untuk keperluan promosi. Dukung artis favorit kamu dengan membeli musik original di iTunes atau platform resmi lainnya.