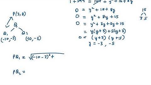
#If a point (x, y) is equidistant from Q(9,8) &S(17,8) then

Tonton & Download Video Musik Gratis

⬇ DOWNLOAD NOW
Kalau muncul iklan pop-up, tutup lalu klik tombol kembali

Download lagu #If a point (x, y) is equidistant from Q(9,8) &S(17,8) then secara gratis hanya untuk keperluan promosi. Dukung artis favorit kamu dengan membeli musik original di iTunes atau platform resmi lainnya.