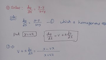
non homogeneous equation of first degree ODE # differential equations # SM23B # Tamil

Tonton & Download Video Musik Gratis

⬇ DOWNLOAD NOW
Kalau muncul iklan pop-up, tutup lalu klik tombol kembali

Download lagu non homogeneous equation of first degree ODE # differential equations # SM23B # Tamil secara gratis hanya untuk keperluan promosi. Dukung artis favorit kamu dengan membeli musik original di iTunes atau platform resmi lainnya.