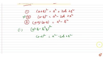
Evaluate each of the following using identities: (i)`991\ xx\ 1009` (ii) `117\ xx\ 83`

Tonton & Download Video Musik Gratis

⬇ DOWNLOAD NOW
Kalau muncul iklan pop-up, tutup lalu klik tombol kembali

Download lagu Evaluate each of the following using identities: (i)`991\ xx\ 1009` (ii) `117\ xx\ 83` secara gratis hanya untuk keperluan promosi. Dukung artis favorit kamu dengan membeli musik original di iTunes atau platform resmi lainnya.