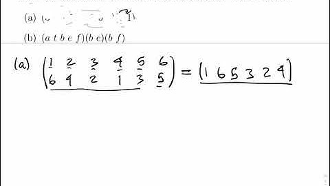
Every Permutation in Sn can be written as a single cycle or as a product of disjoint cycles.

Tonton & Download Video Musik Gratis

⬇ DOWNLOAD NOW
Kalau muncul iklan pop-up, tutup lalu klik tombol kembali

Download lagu Every Permutation in Sn can be written as a single cycle or as a product of disjoint cycles. secara gratis hanya untuk keperluan promosi. Dukung artis favorit kamu dengan membeli musik original di iTunes atau platform resmi lainnya.