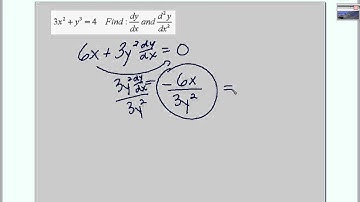
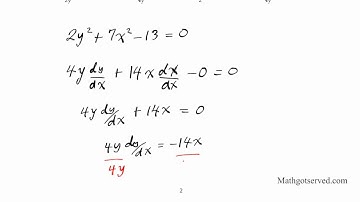
AP Calculus AB - Section 2.5B - Example 2 - "Implicit Differentiation"

Tonton & Download Video Musik Gratis

⬇ DOWNLOAD NOW
Kalau muncul iklan pop-up, tutup lalu klik tombol kembali

Download lagu AP Calculus AB - Section 2.5B - Example 2 - "Implicit Differentiation" secara gratis hanya untuk keperluan promosi. Dukung artis favorit kamu dengan membeli musik original di iTunes atau platform resmi lainnya.