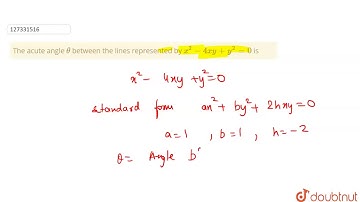
The acute angle `theta` between the lines represented by `4x^(2)+5xy+y^(2)=0` is

Tonton & Download Video Musik Gratis

⬇ DOWNLOAD NOW
Kalau muncul iklan pop-up, tutup lalu klik tombol kembali

Download lagu The acute angle `theta` between the lines represented by `4x^(2)+5xy+y^(2)=0` is secara gratis hanya untuk keperluan promosi. Dukung artis favorit kamu dengan membeli musik original di iTunes atau platform resmi lainnya.