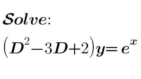
solve (D²-3D+2)y=e^4x+sin3x+x²+x@maths naresh eclass

Tonton & Download Video Musik Gratis

⬇ DOWNLOAD NOW
Kalau muncul iklan pop-up, tutup lalu klik tombol kembali

Download lagu solve (D²-3D+2)y=e^4x+sin3x+x²+x@maths naresh eclass secara gratis hanya untuk keperluan promosi. Dukung artis favorit kamu dengan membeli musik original di iTunes atau platform resmi lainnya.