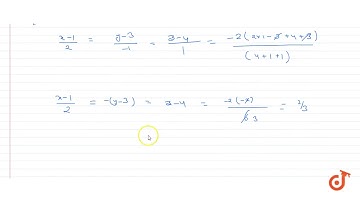
The image of the point \( P(1,3,4) \) in the plane \( 2 x-y+z+3=0 \...

Tonton & Download Video Musik Gratis

⬇ DOWNLOAD NOW
Kalau muncul iklan pop-up, tutup lalu klik tombol kembali

Download lagu The image of the point \( P(1,3,4) \) in the plane \( 2 x-y+z+3=0 \... secara gratis hanya untuk keperluan promosi. Dukung artis favorit kamu dengan membeli musik original di iTunes atau platform resmi lainnya.