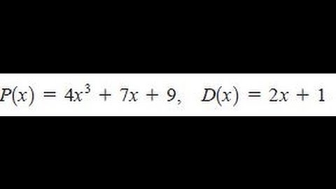
how to write a polynomial in the P(x)=Q(x)D(x)+R(x) form

Tonton & Download Video Musik Gratis

⬇ DOWNLOAD NOW
Kalau muncul iklan pop-up, tutup lalu klik tombol kembali

Download lagu how to write a polynomial in the P(x)=Q(x)D(x)+R(x) form secara gratis hanya untuk keperluan promosi. Dukung artis favorit kamu dengan membeli musik original di iTunes atau platform resmi lainnya.