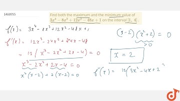
Find both the maximum value and the minimum value of 3x⁴ - 8x³ + 12x² - 48x +25

Tonton & Download Video Musik Gratis

⬇ DOWNLOAD NOW
Kalau muncul iklan pop-up, tutup lalu klik tombol kembali

Download lagu Find both the maximum value and the minimum value of 3x⁴ - 8x³ + 12x² - 48x +25 secara gratis hanya untuk keperluan promosi. Dukung artis favorit kamu dengan membeli musik original di iTunes atau platform resmi lainnya.