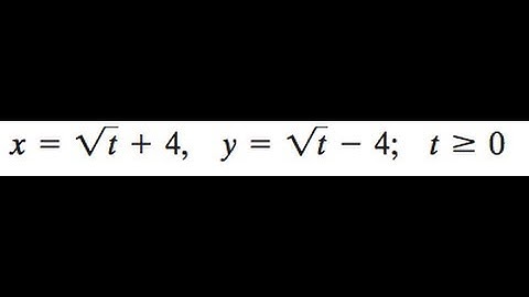
x = sqrt(2)t, y = 4t find the rectangular equation of the two polar equations

Tonton & Download Video Musik Gratis

⬇ DOWNLOAD NOW
Kalau muncul iklan pop-up, tutup lalu klik tombol kembali

Download lagu x = sqrt(2)t, y = 4t find the rectangular equation of the two polar equations secara gratis hanya untuk keperluan promosi. Dukung artis favorit kamu dengan membeli musik original di iTunes atau platform resmi lainnya.