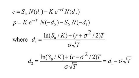
Lecture 13 - Black Scholes Formula and Understanding N(d1) and N(d2) (CA Final; CFA L2; FRM P1)

Tonton & Download Video Musik Gratis

⬇ DOWNLOAD NOW
Kalau muncul iklan pop-up, tutup lalu klik tombol kembali

Download lagu Lecture 13 - Black Scholes Formula and Understanding N(d1) and N(d2) (CA Final; CFA L2; FRM P1) secara gratis hanya untuk keperluan promosi. Dukung artis favorit kamu dengan membeli musik original di iTunes atau platform resmi lainnya.