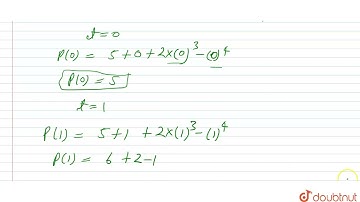
निम्नलिखित बहुपदों में से प्रत्येक बहुपद के लिए p(0), p(1) और p (2) ज्ञात कीजिए:

Tonton & Download Video Musik Gratis

⬇ DOWNLOAD NOW
Kalau muncul iklan pop-up, tutup lalu klik tombol kembali

Download lagu निम्नलिखित बहुपदों में से प्रत्येक बहुपद के लिए p(0), p(1) और p (2) ज्ञात कीजिए: secara gratis hanya untuk keperluan promosi. Dukung artis favorit kamu dengan membeli musik original di iTunes atau platform resmi lainnya.