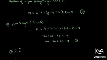
find equation of plane through the point (1,0,-2) and perpendicular to planes@maths naresh eclass

Tonton & Download Video Musik Gratis

⬇ DOWNLOAD NOW
Kalau muncul iklan pop-up, tutup lalu klik tombol kembali

Download lagu find equation of plane through the point (1,0,-2) and perpendicular to planes@maths naresh eclass secara gratis hanya untuk keperluan promosi. Dukung artis favorit kamu dengan membeli musik original di iTunes atau platform resmi lainnya.