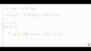
If `f` be decreasing continuous function satisfying `f(x + y) = f(x) + f(y)-f(x) f(y) Y x, y

Tonton & Download Video Musik Gratis

⬇ DOWNLOAD NOW
Kalau muncul iklan pop-up, tutup lalu klik tombol kembali

Download lagu If `f` be decreasing continuous function satisfying `f(x + y) = f(x) + f(y)-f(x) f(y) Y x, y secara gratis hanya untuk keperluan promosi. Dukung artis favorit kamu dengan membeli musik original di iTunes atau platform resmi lainnya.