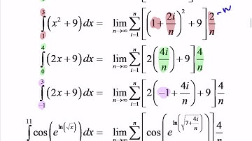
Express the integral as a limit of Riemann sums. (Use the right endpoints.) 4(x − 4 ln(x)) dx1

Tonton & Download Video Musik Gratis

⬇ DOWNLOAD NOW
Kalau muncul iklan pop-up, tutup lalu klik tombol kembali

Download lagu Express the integral as a limit of Riemann sums. (Use the right endpoints.) 4(x − 4 ln(x)) dx1 secara gratis hanya untuk keperluan promosi. Dukung artis favorit kamu dengan membeli musik original di iTunes atau platform resmi lainnya.