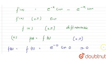
Verify Rolle's theorem for: f(x) =sinx/e^x in [0,π]

Tonton & Download Video Musik Gratis

⬇ DOWNLOAD NOW
Kalau muncul iklan pop-up, tutup lalu klik tombol kembali

Download lagu Verify Rolle's theorem for: f(x) =sinx/e^x in [0,π] secara gratis hanya untuk keperluan promosi. Dukung artis favorit kamu dengan membeli musik original di iTunes atau platform resmi lainnya.