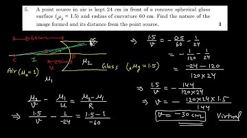
In a medium of refractive index 1.6 and having a convex surface has a point object in it at a di...

Tonton & Download Video Musik Gratis

⬇ DOWNLOAD NOW
Kalau muncul iklan pop-up, tutup lalu klik tombol kembali

Download lagu In a medium of refractive index 1.6 and having a convex surface has a point object in it at a di... secara gratis hanya untuk keperluan promosi. Dukung artis favorit kamu dengan membeli musik original di iTunes atau platform resmi lainnya.