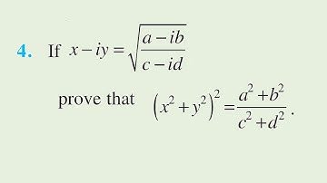
if x+iy=a+ib/c+id prove that x2+y2=a2+b2/c2+d2

Tonton & Download Video Musik Gratis

⬇ DOWNLOAD NOW
Kalau muncul iklan pop-up, tutup lalu klik tombol kembali

Download lagu if x+iy=a+ib/c+id prove that x2+y2=a2+b2/c2+d2 secara gratis hanya untuk keperluan promosi. Dukung artis favorit kamu dengan membeli musik original di iTunes atau platform resmi lainnya.