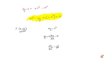
Normal of a Rectangular Hyperbola (Point Form) #jeedailyconcepts #conicsections

Tonton & Download Video Musik Gratis

⬇ DOWNLOAD NOW
Kalau muncul iklan pop-up, tutup lalu klik tombol kembali

Download lagu Normal of a Rectangular Hyperbola (Point Form) #jeedailyconcepts #conicsections secara gratis hanya untuk keperluan promosi. Dukung artis favorit kamu dengan membeli musik original di iTunes atau platform resmi lainnya.