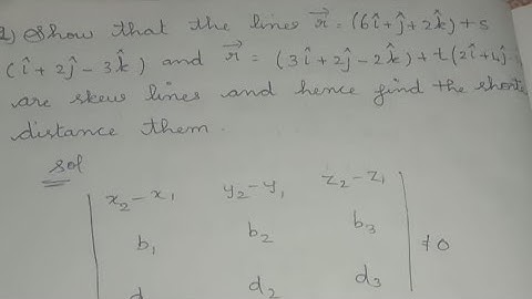
Find the shortest distance between the lines r= (2i - j+ 3k ) + lambda*(i − 2j + 3k) , r = (i + 4k)+

Tonton & Download Video Musik Gratis

⬇ DOWNLOAD NOW
Kalau muncul iklan pop-up, tutup lalu klik tombol kembali

Download lagu Find the shortest distance between the lines r= (2i - j+ 3k ) + lambda*(i − 2j + 3k) , r = (i + 4k)+ secara gratis hanya untuk keperluan promosi. Dukung artis favorit kamu dengan membeli musik original di iTunes atau platform resmi lainnya.