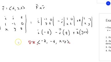
Calculus 3: Divergence and Curl (17 of 32) The Curl: Change in F is NON-Linear

Tonton & Download Video Musik Gratis

⬇ DOWNLOAD NOW
Kalau muncul iklan pop-up, tutup lalu klik tombol kembali

Download lagu Calculus 3: Divergence and Curl (17 of 32) The Curl: Change in F is NON-Linear secara gratis hanya untuk keperluan promosi. Dukung artis favorit kamu dengan membeli musik original di iTunes atau platform resmi lainnya.