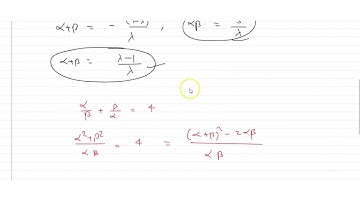
If `alpha, beta` are the roots of the equation `lambda(x^(2)-x)+x+5=0` and if `lambda_(1) and lambda

Tonton & Download Video Musik Gratis

⬇ DOWNLOAD NOW
Kalau muncul iklan pop-up, tutup lalu klik tombol kembali

Download lagu If `alpha, beta` are the roots of the equation `lambda(x^(2)-x)+x+5=0` and if `lambda_(1) and lambda secara gratis hanya untuk keperluan promosi. Dukung artis favorit kamu dengan membeli musik original di iTunes atau platform resmi lainnya.