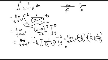
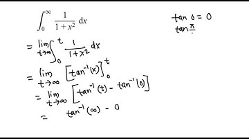
⛔️ Improper Integral with Radical Convergence Divergence problem ! ! ! ! !

Tonton & Download Video Musik Gratis

⬇ DOWNLOAD NOW
Kalau muncul iklan pop-up, tutup lalu klik tombol kembali

Download lagu ⛔️ Improper Integral with Radical Convergence Divergence problem ! ! ! ! ! secara gratis hanya untuk keperluan promosi. Dukung artis favorit kamu dengan membeli musik original di iTunes atau platform resmi lainnya.