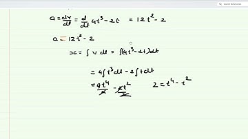
A body starts from the origin and moves along the x-axis such that velocity at any instant is given

Tonton & Download Video Musik Gratis

⬇ DOWNLOAD NOW
Kalau muncul iklan pop-up, tutup lalu klik tombol kembali

Download lagu A body starts from the origin and moves along the x-axis such that velocity at any instant is given secara gratis hanya untuk keperluan promosi. Dukung artis favorit kamu dengan membeli musik original di iTunes atau platform resmi lainnya.