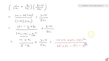
Express the following complex numbers in the standard form ltmath gt ltmrow gt ltmi gta lt/

Tonton & Download Video Musik Gratis

⬇ DOWNLOAD NOW
Kalau muncul iklan pop-up, tutup lalu klik tombol kembali

Download lagu Express the following complex numbers in the standard form ltmath gt ltmrow gt ltmi gta lt/ secara gratis hanya untuk keperluan promosi. Dukung artis favorit kamu dengan membeli musik original di iTunes atau platform resmi lainnya.