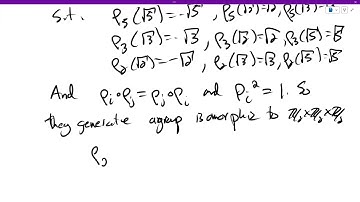
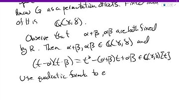
Chapter 8, The Idea Behind Galois Theory, Galois Groups of Q(\sqrt[n]{p})/Q

Tonton & Download Video Musik Gratis

⬇ DOWNLOAD NOW
Kalau muncul iklan pop-up, tutup lalu klik tombol kembali

Download lagu Chapter 8, The Idea Behind Galois Theory, Galois Groups of Q(\sqrt[n]{p})/Q secara gratis hanya untuk keperluan promosi. Dukung artis favorit kamu dengan membeli musik original di iTunes atau platform resmi lainnya.