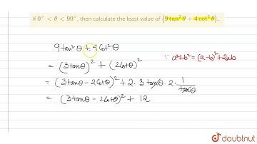
The minimum value of \( 9 \tan ^{2} \theta+4 \cot ^{2} \theta \), is

Tonton & Download Video Musik Gratis

тмЗ DOWNLOAD NOW
Kalau muncul iklan pop-up, tutup lalu klik tombol kembali

Download lagu The minimum value of \( 9 \tan ^{2} \theta+4 \cot ^{2} \theta \), is secara gratis hanya untuk keperluan promosi. Dukung artis favorit kamu dengan membeli musik original di iTunes atau platform resmi lainnya.