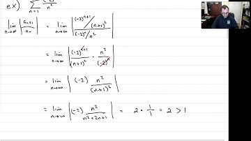
5. Ratio Test Problem 1, 2 - Calculus and Linear Algebra - 21MAB101T Unit 5

Tonton & Download Video Musik Gratis

⬇ DOWNLOAD NOW
Kalau muncul iklan pop-up, tutup lalu klik tombol kembali

Download lagu 5. Ratio Test Problem 1, 2 - Calculus and Linear Algebra - 21MAB101T Unit 5 secara gratis hanya untuk keperluan promosi. Dukung artis favorit kamu dengan membeli musik original di iTunes atau platform resmi lainnya.