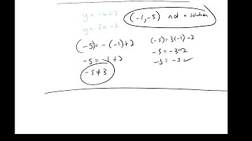
Algebra 1 lesson 5.1 Solving Systems of Linear Equations by Graphing

Tonton & Download Video Musik Gratis

⬇ DOWNLOAD NOW
Kalau muncul iklan pop-up, tutup lalu klik tombol kembali

Download lagu Algebra 1 lesson 5.1 Solving Systems of Linear Equations by Graphing secara gratis hanya untuk keperluan promosi. Dukung artis favorit kamu dengan membeli musik original di iTunes atau platform resmi lainnya.