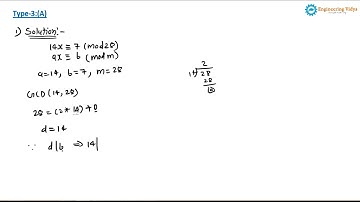
Linear Congruence ax congruent to b (mod m) has a solution iff d|m where (a,m)=b | Lecture-20

Tonton & Download Video Musik Gratis

⬇ DOWNLOAD NOW
Kalau muncul iklan pop-up, tutup lalu klik tombol kembali

Download lagu Linear Congruence ax congruent to b (mod m) has a solution iff d|m where (a,m)=b | Lecture-20 secara gratis hanya untuk keperluan promosi. Dukung artis favorit kamu dengan membeli musik original di iTunes atau platform resmi lainnya.