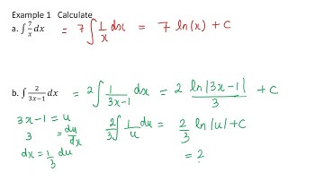
6.2 Antiderivative of the Reciprocal Function and Another Form of the Fundamental Threorem

Tonton & Download Video Musik Gratis

⬇ DOWNLOAD NOW
Kalau muncul iklan pop-up, tutup lalu klik tombol kembali

Download lagu 6.2 Antiderivative of the Reciprocal Function and Another Form of the Fundamental Threorem secara gratis hanya untuk keperluan promosi. Dukung artis favorit kamu dengan membeli musik original di iTunes atau platform resmi lainnya.