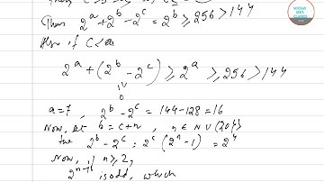
ISI Exam guide explained BSTAT solutions from year 2019. Solutions to specific questions.

Tonton & Download Video Musik Gratis

⬇ DOWNLOAD NOW
Kalau muncul iklan pop-up, tutup lalu klik tombol kembali

Download lagu ISI Exam guide explained BSTAT solutions from year 2019. Solutions to specific questions. secara gratis hanya untuk keperluan promosi. Dukung artis favorit kamu dengan membeli musik original di iTunes atau platform resmi lainnya.